皖仪科技液相色谱手性氨基酸应用专机系统
氨基酸是构成蛋白质的基本组成单位,同时也直接参与许多生命活动。在构成人体蛋白质的20种基本氨基酸中,除了甘氨酸外都具有手性,因此这些氨基酸都存在着L型和D型两种手性同分异构体。
生命体中D型氨基酸的含量水平和各种生命现象息息相关,可以反映诸如疾病的发生和进程、细菌的感染和繁殖等。例如,血液中D-丝氨酸、D-脯氨酸和D-天冬氨酸的水平与肾功能密切相关,而D-天冬氨酸和D-脯氨酸的水平与糖尿病密切相关。
现代食品以及营养学上对于氨基酸手性异构体的分析也具有很大的意义。例如,牛奶中D-丙氨酸的浓度升高可以揭示微生物对牛奶的污染,葡萄酒和醋中的D-脯氨酸含量,则可被用于鉴定产品的发酵年份。
现有成熟的氨基酸检测方法,包括茚三酮染色以及氨基酸分析仪等,都不涉及氨基酸手性异构体的测定。氨基酸手性异构体的分离检测常用的方法有化学拆分法和物理拆分法。化学拆分法工艺较为成熟,多用于工业生产,但是产品的拆分率、产物光学纯度都不高,污染和能耗也较大,不适用于样品的精确检测分析。
物理拆分法包括膜拆分、毛细管电泳拆分、色谱拆分等。其中膜拆分受制于膜的稳定性和使用寿命,不适用于高通量快速检测分析;毛细管电泳拆分尽管分辨率高,但是一次只能拆分一种或少数几种氨基酸的手性异构体,不适用于复杂实际样品的分析检测;色谱拆分法适用范围较广、灵敏度较高,能实现复杂样品中的氨基酸手性异构体检测分析。
但是色谱拆分氨基酸手性异构体需要采用昂贵的手性色谱柱。并且由于大部分氨基酸在紫外光区没有吸收和特征荧光,因此在常用的色谱紫外检测器中的效果并不好。为了解决以上问题,通常对待检测含手性氨基酸的样品进行色谱柱前衍生,以提高对手性氨基酸的检测灵敏度和色谱分离度。本方法是一种简单、灵敏且可重复的自动柱前衍生化对28种手性氨基酸分离的检测方法。
1 方法原理
氨基酸手性衍生试剂可以分为羧基衍生试剂和胺基衍生试剂,这些衍生化试剂自身具有手性,在与待测的氨基酸样品通过化学反应结合后,使待测的氨基酸对映异构体引入额外的手性中心,成为非对映异构体,从而可以在非手性色谱柱中实现分离。在此方法中,使用邻苯二甲醛 (OPA)与N-异丁酰基-L-半胱氨酸(IBLC),与手性氨基酸反应形成了荧光非对映异构体。衍生过程中如图1所示。

图1 衍生试剂与氨基酸反应过程仪器配置及实验方法
· 仪器配置清单

· 试剂和标准品制备

· 标准品清单

· 试剂清单
单标制备:称取单标适量,加0.1 mol HCL(用量筒量取4.1mL密度为1.19g/cm3质量分数为37%的浓盐酸倒入装有适量的纯水的烧杯中,转移至500mL容量瓶中定容)溶解定容,再用水稀释制成所需的浓度。
混标制备:移取单标储备液加水稀释制成混标对照品溶液。硼酸溶液:硼酸盐缓冲液(购买的成品,ph10.2)。衍生溶液:称取IBLC试剂约0.2486g、OPA试剂约0.1824g置5mL容量瓶中,加硼酸溶液溶解并定容至刻度,混匀即得。0.1%乙酸溶液:移取1mL乙酸加水溶解定容至1000mL,混匀即得。50mM乙酸钠:准确称取4.101g无水乙酸钠,用水定容至1000mL,用乙酸溶液调节pH7.0。
色谱条件如下图所示:

进样器衍生程序:如下图所示。注:A1、B1、C1、D1位置溶液分别为硼酸溶液、衍生溶液、0.1%乙酸溶液、标样。

实验结果
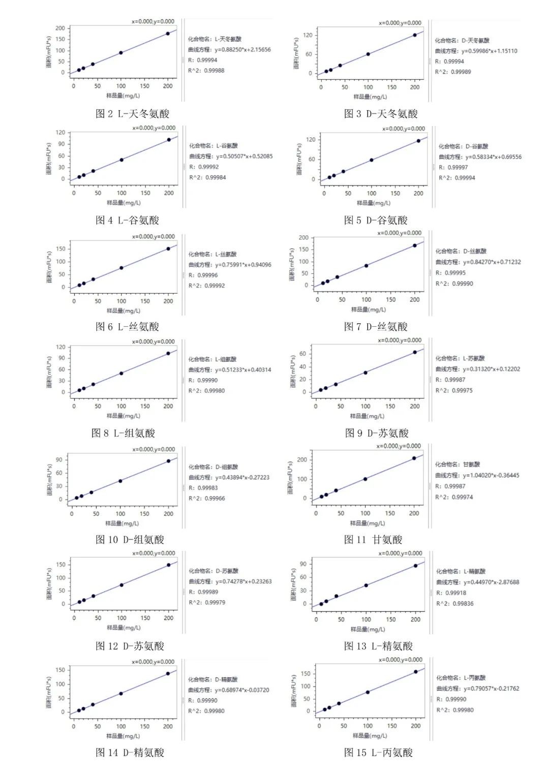
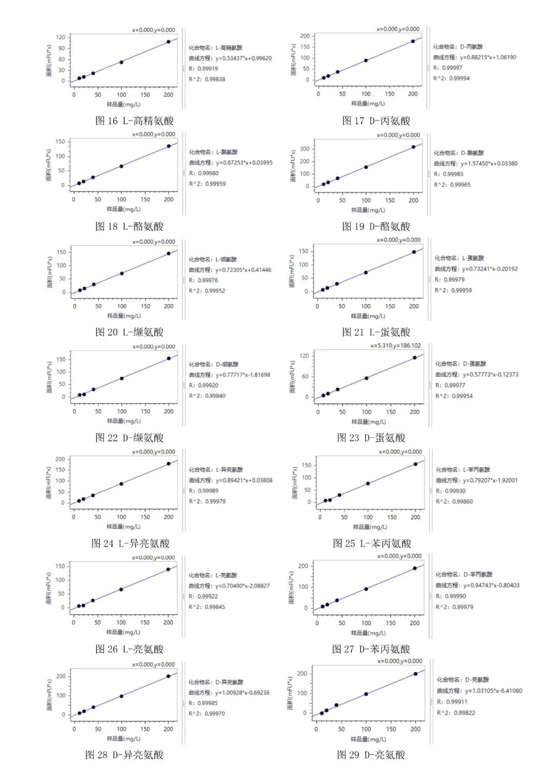
· 氨基酸线性图与线性数据下图各项数据可知,28种氨基酸线性良好,R值均在0.999以上,完全满足各种实验分析需求。



· 分离度(氨基酸出峰位置谱图与数据结果)
由上图及上表中数据显示,手性氨基酸峰型较好,分离度均在1.2以上,分离效果较好。


总结
本应用介绍的分析方法,采用皖仪科技高效液相色谱仪LC3600系列配置荧光检测器、具备在线衍生功能的针在流路进样器,使用OPA及IBLC衍生试剂,实验结果显示:手性氨基酸线性良好,R值均在0.999以上,各个氨基酸峰型较好,分离度均在1.2以上,分离效果好。说明了该方法配备皖仪科技LC3600系列仪器检测手性氨基酸的可行性。
本文地址: https://www.xsyiq.com/52054.html
网站内容如侵犯了您的权益,请联系我们删除。